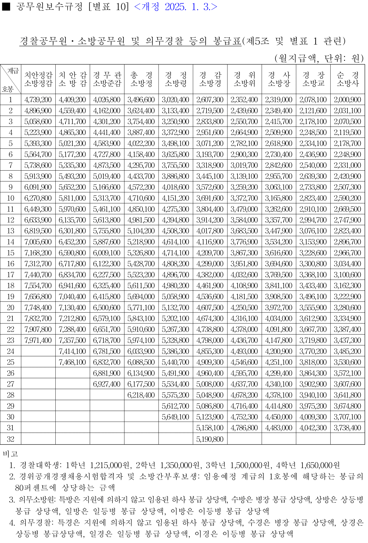
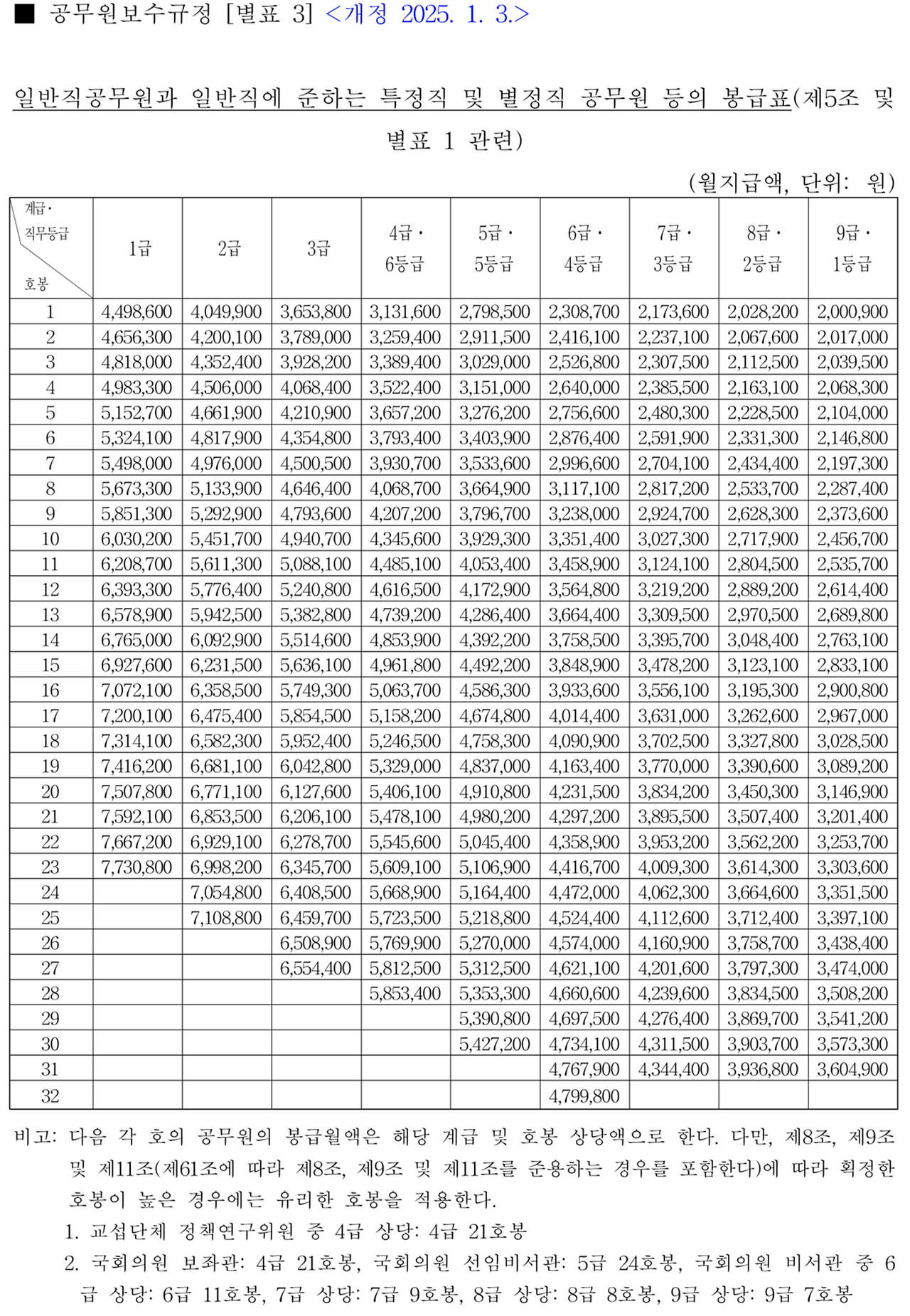
2026년 공무원 보수 인상률
2026년 공무원 보수 인상률은 3.5%로 확정되었습니다. 이는 2017년 이후 가장 높은 수준으로, 그동안 정체되어 있던 공무원 임금 구조에 상당한 변화를 예고하고 있습니다. 지난해 인상률이 3.0%였던 것을 고려하면 이번 수치는 뚜렷한 상승세를 보여주며, 물가상승률과 최저임금 인상률을 모두 상회하는 결과이기도 합니다. 단순히 숫자의 증가에 그치지 않고, 공직 사회의 구조적 문제를 해결하기 위한 적극적인 조치로 해석할 수 있습니다.


인상률 상향의 필요성과 배경
최근 몇 년간 공무원 보수는 민간 임금 상승률을 따라가지 못했습니다. 민간 대비 공무원 보수 수준은 점점 낮아져, 2020년 90% 수준에서 현재는 80% 초반대로 떨어진 것으로 나타납니다. 이 격차는 공직의 경쟁력을 약화시켰고, 청년층의 공직 선호도를 크게 낮추는 요인이 되었습니다.
또한, 공무원 시험 응시자의 수는 급격히 줄었습니다. 2021년만 하더라도 수십만 명에 달했던 청년 지원자가 2025년에는 절반 이하로 감소했습니다. 시험 응시자 감소와 함께 입직 후 5년 이내 퇴직하는 조기 퇴직자 수도 빠르게 늘어나고 있습니다. 이러한 인력 유출은 단순히 공무원 개인의 문제가 아니라, 국가 행정 서비스 전반의 질 저하로 직결될 수 있는 문제입니다. 결국 정부는 보수 인상을 통해 공직 사회의 매력을 회복하고, 인력 수급의 불균형을 해소하고자 한 것입니다.



공무원보수위원회와 정부 결정의 차이
매년 공무원 보수 인상률은 공무원보수위원회의 권고를 통해 가이드라인이 제시됩니다. 올해 권고 수준은 2.7~2.9%였으나, 정부는 이보다 더 높은 3.5%를 확정했습니다. 이는 단순한 권고에 머물지 않고 현실적인 상황을 반영한 결과라 볼 수 있습니다. 공무원 노동계에서도 이번 결정을 긍정적으로 평가하며, 정부가 처우 개선 의지를 보여줬다는 점에서 의미 있는 변화로 해석하고 있습니다.
이러한 변화는 앞으로 공무원 보수 산정 과정에서 권고안보다 현장의 목소리가 더 강하게 반영될 수 있음을 보여줍니다. 과거에는 권고안이 사실상 최종 기준으로 작용했으나, 이제는 보다 유연한 접근이 가능해졌다는 점에서 제도의 성숙을 기대할 수 있습니다.






인상률이 미칠 파급 효과
첫째, 공무원 처우 개선 효과가 뚜렷합니다. 그동안 초임 공무원들은 낮은 급여 때문에 생활의 어려움을 호소해왔습니다. 주거비와 물가 부담이 높아지는 상황에서 임금 인상은 생활 안정에 실질적인 도움을 줍니다. 특히 신규 임용자의 체감 효과는 매우 클 것으로 예상됩니다.
둘째, 공직 선호도의 회복 가능성이 있습니다. 줄어들던 응시자 수가 다시 늘어날지 단정할 수는 없으나, 장기적으로는 긍정적인 흐름을 만들 수 있습니다. 청년층이 공직을 다시 매력적인 진로로 인식한다면, 인력 수급 불균형 문제도 완화될 수 있습니다.
셋째, 공직 내 사기 진작이 이루어질 수 있습니다. 오랫동안 낮은 인상률로 체감 소득이 줄어들면서 현직 공무원들의 사기가 저하된 상태였지만, 이번 인상률은 이러한 분위기를 바꾸는 계기가 될 수 있습니다. 업무 의욕과 조직에 대한 충성심이 회복된다면, 행정 서비스의 질 향상으로 이어질 가능성이 큽니다.



최근 10년간 인상률 흐름
지난 10년간 공무원 보수 인상률을 살펴보면 2021년과 2022년에는 1% 내외의 매우 낮은 수치에 머물렀습니다. 이는 공무원 사회에 실질적인 체감 인상을 주기 어려운 수준이었습니다. 2023년과 2024년에 들어서야 2%대 중반 수준으로 올라섰지만 여전히 부족하다는 평가가 많았습니다. 그러다 2025년 3.0%로 조금 더 개선된 후, 2026년에 3.5%로 확정되면서 명확한 상승 전환점을 맞이하게 된 것입니다.
이러한 흐름을 보면, 2026년의 인상률은 단순한 수치 이상의 의미를 가집니다. 이는 장기적으로 정체된 공무원 보수 체계를 정상화하려는 정책적 의지가 담겨 있다고 할 수 있습니다.
| 연도 | 인상률 | 특징 |
| 2026 | 3.5% | 9년 만의 최대 인상, 민간 대비 격차 완화 |
| 2025 | 3.0% | 점진적 개선 시작, 청년 응시율 감소 여전 |
| 2024 | 2.5% | 물가상승률 수준에 그친 제한적 인상 |
| 2023 | 1.7% | 체감 효과 거의 없는 인상률 |
| 2022 | 1.4% | 역사적으로 낮은 수준, 불만 증대 |
| 2021 | 0.9% | 최저치, 공직 사기 저하 본격화 |
| 2020 | 2.8% | 코로나19 시기, 재정 부담 속 인상 |
| 2019 | 1.8% | 제한적 상승, 민간 격차 확대 |
| 2018 | 2.6% | 비교적 안정적 인상률 유지 |
| 2017 | 3.5% | 직전 최대 인상, 이후 장기간 정체 시작 |
지난 10년간 공무원 보수 인상률 추이를 정리하면 다음과 같습니다.
향후 전망과 과제
2026년의 보수 인상은 분명 긍정적인 변화지만, 여전히 해결해야 할 과제는 남아 있습니다. 민간 대비 격차는 여전히 존재하며, 청년층의 공직 기피 현상이 단기간에 해소되기는 어렵습니다. 따라서 정부는 보수 인상뿐 아니라 근무 환경 개선, 승진 제도의 합리화, 복지 제도의 강화 등을 통해 종합적인 처우 개선을 추진해야 할 필요가 있습니다.
또한, 인상률 상승이 국가 재정에 부담을 줄 수 있다는 점도 고려해야 합니다. 장기적으로는 재정 건전성을 유지하면서도 공직 사회의 안정성을 높이는 균형 있는 정책 운영이 요구됩니다. 결국 이번 인상률은 시작점에 불과하며, 앞으로 얼마나 지속 가능하고 체계적인 개선이 이루어지느냐가 관건이 될 것입니다.









결론
2026년 공무원 보수 인상률은 3.5%로 확정되면서 9년 만에 최대 폭 인상을 기록했습니다. 이는 공직 사회의 인력난, 민간 대비 보수 격차 확대, 청년층의 공직 기피 현상 등 누적된 문제를 해결하기 위한 정책적 선택입니다. 단순히 임금이 오르는 것 이상의 의미를 가지며, 공직 사회의 사기 회복과 행정 서비스 품질 향상으로 이어질 수 있는 전환점이라 할 수 있습니다. 앞으로의 과제는 이 흐름을 어떻게 제도적으로 정착시키고 지속 가능한 방향으로 발전시켜 나가느냐에 달려 있습니다.
'경제 사회' 카테고리의 다른 글
| 희토류 관련주 대장주 (0) | 2025.11.01 |
|---|---|
| 그랜저 하이브리드 가격표 연비 2026 제원 (0) | 2025.10.10 |
| 남성 시계 브랜드 순위 (0) | 2025.08.20 |
| 공무원 연금 계산법 (0) | 2025.08.17 |
| 2025년 상속세 면제 한도액 (0) | 2025.08.13 |